什么是機械檢測隨機信號
時間:2016-10-31 14:48來源:未知 作者:admin
隨機信號具有隨機特點,每次觀測的結果都不相同,無法用精確地數學關系式或圖表來描述,更不能由此準確預測未來的結果,而只能用概率統計的方法來藐視它的規律,所以此種信號也被稱為非確定性信號。
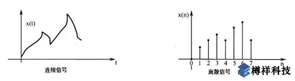
隨機信號根據信號波形的形態游客分為連續時間信號與離散時間信號,并簡稱為連續信號與離散信號。
連續信號:若在所討論的時間間隔內,對于任意時間值(除若干不連續點以外)都具有對應的函數值,此信號稱為連續信號。連續信號的復制可以是連續的,也可以是離散的(只取某些規定值)。對于時間和幅值都是連續的信號又稱為模擬信號。顯示世界上大多數信號均是模擬信號。

離散信號:離散信號是在取值的時間上是離散的,只在某些不連續的規定瞬時給出函數值,而在其它時間沒有定義。




![[field:title /]](/uploads/allimg/160926/1-160926095J5.jpg)
![[field:title /]](/uploads/allimg/170316/1-1F316164532.jpg)
![[field:title /]](/uploads/allimg/160927/1-16092G12F7.jpg)
![[field:title /]](/uploads/allimg/160926/1-160926164057.jpg)
![[field:title /]](/uploads/allimg/160929/1-160929164110.jpg)

京公網安備 11010702001993號